AMOLED發光原理

發光器件設計原則
AMOLED成像要素
顯示面板的功能就是圖像顯示,所以談到面板的技術參數,成像是繞不過去的一關。
視覺世界里最重要的屬性是亮度和色彩。顯示器可以發出紅色、綠色、藍色三種波長的光,并控制這三種光的比例,屏幕上的所有顏色都由這三種光按照不同比例混合而成的。對于人眼來說,視錐細胞主要分布在視網膜上最敏感的黃斑上,人眼使用紅色、綠色、藍色三種視錐細胞來解析光線,不同顏色的光激發起的電流不同,大腦接收到電刺激后,將這些信息還原成顏色。

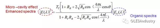
AMOLED中的光學微腔
有機電致發光F-P光學微腔,使發光材料在特定波長處實現輻射,實現強度的增大和譜線的壓窄。其中,發光光譜受x、L影響較大。
HTL通常為光學調整層,EML材料的本征光譜固定時,可通過HTL厚度調整腔長,從而調整光色。不同發光材料對膜厚敏感性不同,為保證顏色的穩定性,有機層膜厚的控制尤為重要。


色彩設計與光學模擬軟件
選定效率高、波長范圍合適、壽命較好的EML材料后,考慮到量產穩定性,需做光學調整層的DOE,驗證光色隨腔長(L)的變化趨勢。此過程中,光學模擬軟件可起到輔助收斂的作用。
舉例說明:
應用模擬軟件,分析發光材料的光色變化趨勢及大致window:
其他器件參數固定,調整光學調整(共通)層,對RGB色標影響如下。腔長越長,光色越向長波長方向偏移。其中光色對腔長的敏感度,是按GBR排序,G CIE的變化軌跡,在CIE1931色品圖拐角處,其變動幅度遠大于B&R。
#p#分頁標題#e#*注:GBR膜厚變動范圍相同,為突出趨勢差異,膜厚變動值較大,已超出正常制程水平,僅供參考。

色彩設計過程中,綠光的特殊性:
根據視覺理論,楊氏三色學說,錐狀細胞對380-780納米內不同波長的光具有不同敏感程度,明視覺(5nit以上),眼睛對550nm的黃綠色部分感受性最高,對紫光、相對不敏感。
從模擬及實踐結果均可知,隨膜厚(腔長)的變化,綠光色標在CIE1931中有較大變動,且人眼對綠色較為敏感,故在設計中需選用window較大的材料,生產過程中,需重點管控有機層膜厚均一性。

由于CIE1931的色品圖不均勻性,根據麥克亞當橢圓在1931的分布,對G光色的規格設定,可考慮色彩寬容度等概念,或采用1976等更均勻的色彩空間。
色彩設計中的光譜
下圖為某支綠光材料發光光譜。
設計過程中首先需考慮發光材料的波峰與半波寬是否合適。
選定材料體系后,需進行視角光譜驗證。因為不同視角下,光程出現變化,腔長L改變,所以跟正視相比,大視角下光譜有偏移。
材料體系固定時,視角由0°→60°變化,偏移的規律性較強。
所以在色彩設計過程中,除了CIE中值,及膜厚均一性的考慮外,還需注意視角光譜的波動與本征光譜的關系。


AMOLED光學畫質
目前應用AMOLED屏幕的電子產品越來越多,預定及銷售均出現了火爆情況。很多電子產品官網給出了兩周以上的發貨等待期。其中包含終端商的營銷策略,也體現了AMOLED供不應求的局面。
終端公司對顯示器的光學要求,已不僅僅是亮度、色域等基礎規格,而是OLED屏幕的整體畫質。用戶對視覺效果的高要求,決定了提升畫質的必要性。
#p#分頁標題#e#
圖:應用OLED屏幕的智能手機
隨著應用OLED屏幕的電視、智能手機、VR Phone等產品的層出不窮, OLED的缺陷也逐漸被用戶所察覺,從消費者的投訴頁面上可發現,大部分用戶口中的“畫質差”是色彩不均伴有區域性亮度不均的,即mura。
AMOLED面板的mura,多為電性不均、面板內外高低差等引起,多數出現于Array/OLED制程中。隨著更高分辨率,更大尺寸發展趨勢,即便持續提升制程均一性,mura問題仍然根深蒂固。亮度的不均,也令觀察者很容易注意到色彩不均,易有臟屏、花屏等感受,從而影響到畫質。
畫質問題之------色彩不均
跟AMOLED色彩相關的主要問題為混色、色彩均一性差等。
混色:因與FMM、張網均有關,且隨著分辨率越來越高,邊框越來越窄,對FMM的精細度有很高的要求,混色的良率很難控制。
色彩均一性差:受限于蒸鍍機臺及管控程度,其良率受panel尺寸等影響。
單色的色彩不均,是因為OLED蒸鍍制程不均一,導致發光器件的光學微腔被影響,從而影響到光色。白光的高灰階不均,有IR-drop之影響。低灰階的色彩不均,另有VGH/VgammaH設計問題等原因。
以上色彩問題,均為OLED段難關,很難在后端進行彌補。目前已可將yield loss降至較低水平。
畫質問題之------亮度不均
以下是OLED TV連續運行一小時后,使用儀器分析的亮度分布圖:

成因分析:與設計及制程均有關。IR drop、電路設計、成膜均一性等原因,區域性或整面屏均可見。低灰階時工藝上的偏差,將體現的尤為明顯。 且Vdata電壓、ELVDD、ELVSS、GIP驅動信號壓降造成高灰階向低灰階過渡,亮度均勻性亦會呈現固定的規律性。
解決方式:改造電路、提升制程穩定性,可在一定程度上改善。
畫質問題之------Mura
AMOLED面板中,區域性的亮度、色彩不均,均可稱為mura。改造電路等方式可改善亮度均一性,但幾乎無法解決mura。Mura的隨機性、頑固性,是影響光學畫質的最大殺手之一。
國內AMOLED面板已從無到有,技術難題攻克的同時 ,面板商間將進入拼良率的階段。在良率爬坡過程中,產生的mura形態累計有上百種。改善的同時,也在逐漸產生新型的mura。各家面板商機臺、制程均有差異性,所以mura的分類收斂也各有不同。#p#分頁標題#e#
常見的有牛頓環、條狀mura、帶狀mura、S mura、沙狀mura等等,后續隨著柔性屏批量,LTPS/IGZO、LLO過程中可能產生更多不可預測的mura形態。除明顯的paticle和固定位置的規律性mura外,根據mura形態,很難分析成因,也很易造成漏檢。

圖:mura示意
AMOLED畫質提升途徑
終端商與消費者希望看到絢麗漂亮的屏幕,而高標準的畫質直接拖動良率。
在畫質上,除了在OLED廠端做艱難的色彩提升,也可以在亮度均一性、mura補償的方式去均衡。
畫質提升方法
目前已在探索多種補償方式,以提升屏幕光學畫質。如內部像素電路補償、外部電訊號補償,及外部光學式補償等。
在AMOLED的面板設計、Array 制程等多處可技術切入。其中電路設計的修改,時程較長,專利風險較大;在制程中進行電訊號補償,可彌補電性不均,但在之后的制程中,可能出現其他的不均,疊加后,補償結果并未體現在FOG/Full MDL之上。
而外部光學式補償,由于其不需更改電路設計,不需大改制程,且補償效果靈活可控,目前占有很大的優勢。

多家主流IC廠商已將含De-mura功能的 IC列入開發及驗證時程,如Raydium、Focal、Himax等。設備方面, IIX、cybernet等公司已積極投入資源,國內亦有多家公司開始布局,著重進行相關技術的自主研發,如先導智能等自動化設備龍頭企業。
|
外部光學式補償相關廠商 |
||
|
類別 |
廠商 |
支持領域 |
|
Driver IC |
Raydium |
含De-mura功能 IC |
|
Himax |
||
|
…… |
…… |
|
|
De-mura相關設備 |
IIX |
檢測&De-mura設備、算法 |
|
Cybernet |
||
|
先導智能 |
||
|
…… |
…… |
表:外部光學式補償相關廠商
畫質提升效果預估
依目前面板商對mura的大致分類,能利用De-mura技術消除的,大致為:ELA等固定方向性mura、黑斑、黑色帶狀mura等。以上mura也是目前影響良率較多的。
很難用De-mura技術消除的,一般為顏色類的彩斑、混色、色彩不均等,補償亮度后會有輕微改善,但色彩的問題仍會被人眼察覺,色彩問題僅能改善,很難補償至人眼不可見。
De-mura可針對面板廠、終端客戶的需求,實現多個灰階下的識別補償。實際效果可由AOI設備商、IC商、面板商的合作下,進行持續驗證。保守估計,可提升模組段10%左右的良率。
后續待柔性產品量產,由于3D Lamination、LLO等制程原因,在良率爬坡階段中,越后端,成本將越高。而后端的檢測、補償不僅能提升光學畫質,更能提升良率、大幅降低成本,有機會成為性價比最高的對策。
關注我們
公眾號:china_tp
微信名稱:亞威資訊
顯示行業頂級新媒體
掃一掃即可關注我們