引言
在所有平面顯示器產業領域里的陣列廠,曝光機算是一個相當重要的設備。
就產能來說,曝光機可能也算是一個重要的瓶頸,甚至可以這么說,單單僅是曝光的時間延長,甚至或是曝光機的當機,恐怕都是一個令人頭痛的夢饜。
曝光機霧化(Haze),指的是曝光機的透鏡(Lens,主要是Nikon或Canon曝光機)或反射鏡面(主要是Canon曝光機或CF曝光機)的表面上,被覆蓋上一層不明物質,看似白蒙蒙的、或是明顯的白色斑點、甚或是一片咖啡色不明物質,因而造成透光或光的反射性能下降。就英文的Haze一字來說,指的正是霾,這里則用”霧化”一詞描述之。
如果更廣泛地說,光罩(平面顯示器產業稱mask,半導體產業則稱reticle)也可能發生霧化。平面顯示器產業比較少見(還是有聽過這樣的問題,主要是無機物污染),但在半導體產業則是非常熱門的話題,特別是步入193nm光源后,更是如此。至于下一世代的EUV,其重要性,就更別說了。
如上所述,透光或光的反射性能下降,那又如何?
透光或光的反射性能下降的第一個困境,就是光阻的曝光量不足,而為了達到足夠的曝光量,就是延長曝光時間,或者增加UV光源燈泡的電流,但后者是有風險的,UV光源的燈泡可能因為電流過高而破裂,清理,就是停機。停機,就是第二個潛在困境。
就如同前述,不論是哪一個都是一個令人頭痛的夢饜。
在偶然機緣里,我們接觸到這樣的案例,不但分析了霧化物質的內容,更針對該曝光機的化學過濾器進行廠外量測分析。
以下就是一些我們的發現。
一、問題說明
某平面顯示器的陣列廠的曝光機,在其透鏡及反射鏡上出現了如圖 1的情形。
圖 1中的(a)圖,如果仔細觀察,就可以發現有白色斑點;而(b)圖則是有明顯的咖啡色不明物質披覆。
圖 1的后果,可以想見,該曝光機一定是停機維修。這是所有平面顯示器的陣列廠最不想看見的狀況。
我們被通知,并被要求試著分析圖 1中 (b)圖的可能成份。實驗室開始動員,利用超純水萃取擦拭物后,并以離子色譜儀分析無機物的組成;同時,也利用自動熱脫附儀,搭配氣相色譜質譜儀分析有機物的組成。

圖1 曝光機內組件霧化的情形
比較可惜的,是圖 1中的(a)圖,沒有取得樣品。不過依經驗判斷,應該是無機物的成份居多。接下來的內容,主要是根據圖 1中 (b)圖的發現所做的記述。
二、化學過濾器的調查
化學過濾器說明
該曝光機的化學過濾器只用于處理氨氣。其外觀與結構,如圖 2所示。
化學過濾器的濾材相當特殊,看起來像是由纖維織出的布,圖 2的右上就是其中的一根纖維,該纖維上的顆粒,推測為銨化物。

圖2 化學過濾器結構
化學過濾器量測概念說明
化學過濾器的量測,旨在觀察在化學過濾器上有哪些物種在上面。
我們利用平衡濃度概念,故意喂給化學過濾器一個相對干凈的空氣,藉以觀察化學過濾器會釋放出哪些物種,如此,可以有助于了解過去該曝光機所吸取到的空氣特性。
基于這樣理念,我們制做一個設施,在待測的化學過濾器的上游安裝除有機及除氨的化學過濾器,并針對下游透過沖擊瓶(impinger)進行酸堿性氣體的采樣,以及Tenax-GR吸附管進行有機物的取樣。
由于待測的化學過濾器的上游空氣相對干凈,因此,某些被積累于過濾器表面的物種會釋出,藉由下游的無機及有機氣體的取樣,就能夠反溯過去曝光機的可能遭遇。
化學過濾器量測結果說明
化學過濾器量測結果如圖 3所示。
圖 3的結果顯示,確實吸附了一定量的氨氣。而除了氨氣之外,MEA的出現反而令人意外,但這也暗示著曝光機過去的可能遭遇,亦即與來自stripper區化學物的空氣有所接觸。
另外就有機物的分析來看,也出現少量的DMSO,這也是來自stripper區的化學物。
這樣的結果,述說著潔凈室內交互污染的過去與影響。

圖3 化學過濾器量測結果
(a)無機物上下游結果;(b)有機物下游結果
三、擦拭物分析調查
就所收集到的信息,擦拭物分成兩項,其一為圖 1中 (b)圖的擦拭物,此為主要觀察對象;另外一個為該曝光機所搭配的track的表面霧化物的擦拭物,此為輔助左證。
反射鏡擦拭物無機物分析
所謂的無機物分析,是利用超純水進行霧化擦拭物的萃取后,再以離子色譜儀分析。
分析結果如圖4所示。
純水溶出物中,有醋酸、銨、硫酸根等都不奇怪,比較有意思的,是有MEA。這一點和前述的化學過濾器量測結果相吻合。

圖4 無機物分析結果
反射鏡擦拭物有機物分析
霧化擦拭物的有機物分析,需要先把擦拭布上的有機物利用自動熱脫附儀脫附出來后,再送入氣相色譜質譜儀進行分析。
分析結果如圖5所示。
圖 5中有醋酸及Benzyl Alcohol。這兩個物種在前述的分析里都有出現,因此,比較不奇怪。比較有趣的,是Caprolactam,這個的量,相對而言,是比較高的。

圖5 有機物分析結果
Track的表面霧化物的擦拭物分析
Track為與曝光機相連接的設備,是由一連串的機臺所組成。由于在Track機臺表面發現也有霧化狀的情形,因此,也采集樣本,做為分析判斷的輔助參考。
這個部份,僅利用超純水進行霧化擦拭物的萃取后,再以離子色譜儀分析。
分析結果如圖6所示。

圖6 Track的表面霧化物的擦拭物分析結果
MEA還是出現!與圖四相比較,組成成份的百分比雖然不同,但MEA都有出現。
雖然圖 6不是直接從曝光機內霧化物的分析結果,但是卻提供了相當的輔助線索。
四、討論
就上述兩方面的調查,有以下幾個觀點:
首先,一般就霧化的認知為以氨為首的無機鹽為主要大宗。從以上針對反射鏡面的分析結果來看,有是有,但量不多。
其次,反觀醋酸,則是比較有趣的發現。這和過去曾經分析某CF廠曝光機的mirror擦拭物的發現也是相同的。其實近幾年來,除了過去已知的硫酸銨等無機鹽類外,半導體產業也是開始對醋酸有另外一種認知。
其三,另外一個有趣的發現,是MEA。無疑地,這是不應該在黃光區的Track機臺表面被發現,當然會在曝光機內的反射鏡發現,更是不合理,但就連曝光機的守門員都有MEA,就不得不相信有MEA進入曝光機內部的可能性。
MEA的出現,必有所指。交叉污染是最簡單的解釋。不過,Stripper區與黃光區有交叉污染只是個交代。真正的難處在找到交叉污染的路徑,并予以阻絕才是重點。但這不是現在要討論的議題。
其四,Benzyl Alcohol為光阻劑里常見的添加物,在反射鏡上的少量發現,暗示著有機物也會附著在曝光機內的組件。
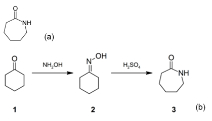
最后,我們想討論Caprolactam的出現。已知Caprolactam(己內酰胺)并不被制程所使用。圖7中的(a)為Caprolactam的化學結構。而圖7中的(b)則為己內酰胺的制備過程。
圖7中 (b) 的第一個步驟,由Cyclohexanone (1)開始,制備Oxime (2)。而Cyclohexanone已知廣泛存在于Photo區內。
接著,Oxime (2)經過酸化,形成Caprolactam (3) 。
再觀察前述的分析,從無機的分析結果顯示,有銨鹽及微量的MEA。它們都有可能成為提供形成中間產物Oxime的源頭,而這也可以說明,銨鹽及MEA偏低的原因。
其次,酸性離子,在無機的分析結果中,其含量是高的。因此,酸化的動力不是問題。
Lens Chamber為一近似密閉的空間,內有UV提供能量,因此,反應所需的動能也有人提供。
果真如此,是否可以推測,Caprolactam是在Lens Chamber內透過Cyclohexanone及其它因素反應而得?

圖7 己內酰胺說明
(a) 己內酰胺的結構;(b) 己內酰胺的制備
以上圖 7的說明,純屬推測。或許還可以再質疑分析過程是否受干擾,不過,在某種意義上,暗示著反應物的形成,不是沒有可能。圖 5有機物分析結果中的Benzene, 1,3-dichloro-就是另外一個懷疑的對象。
五、結語
在有限的實驗室資源下,我們進行了一些與曝光機霧化問題的相關分析工作并獲得一些數據與信息。
綜合上述各方面的分析結果與討論,可以把這個案例的霧化問題與成因,用圖 8的分類來做個總結說明。

圖8 霧化問題與成因分類
整個分類,以反應沉積與直接沉積做為大分類。反應沉積再分為有機及無機兩類。其中,無機鹽類是比較廣為人知的部份。有機部份,可以看成只是推斷。我們也希望能夠有更專業的研究可以再深入探討。
最后,平面顯示器產業雖然沒有像半導體產業那樣地敏感,但本案例仍能夠提供一個未來預防之道的方向參考。
首先,曝光機所在的環境調查是有其必要的。其次,僅僅依照曝光機原廠所配備的除氨的化學過濾器,如果只是單獨的無機鹽類處理,可能也不太足夠(還是得看環境調查結果)。其三,交叉污染是防治過程中一個不可忽略的環節。其四,當想要完全避免有機部份的影響,此時,就不能還是從潔凈室內抽取空氣,要另辟更干凈的氣源。
關注我們
公眾號:china_tp
微信名稱:亞威資訊
顯示行業頂級新媒體
掃一掃即可關注我們